資工

數學

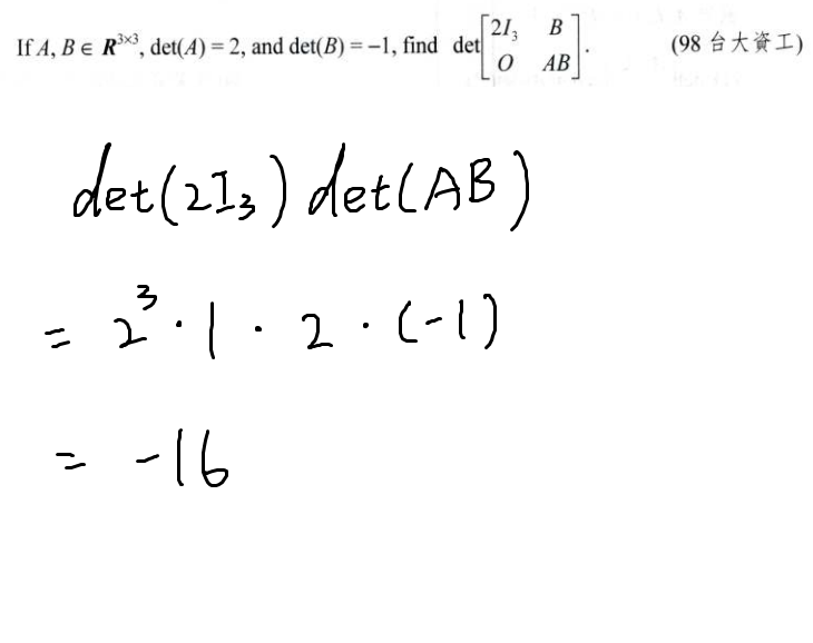
label: determinant

  1. 分割矩陣和行列式

計組

  1. 避免alias使用virtual address but physical tagged

電機

計組

  1. 64位元c語言記憶體位址
  2. 計算執行時間, MIPS
  3. pipeline hazard問題
  4. 計算miss penalty, 增加頻率, 也會增加miss penalty, 但會降低時間